@dpupr_lamsel
dinaspuprlamsel
DinasPUPR_Lamsel
@dpupr_lamsel
dinaspuprlamsel
@dinas.pupr.lamsel
Data Jalan Kabupaten
Info Kegiatan
Surat Keputusan
Tentang Bina Marga
Berita Terkait
Kritik & Saran
SK Bupati
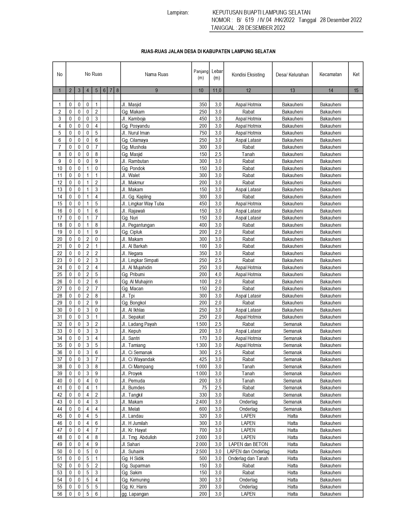
Jalan Desa
SK JALAN BUPATI
Tahun 2023
Surat Keputusan (SK)